CubeSat


A CubeSat that encourages the sustainable usage of space

The STRATHcube project was initially established in May 2020 after an investigation into its feasibility was completed by StrathAIS and the Aerospace Centre of Excellence at Strathclyde. It was concluded that a CubeSat mission should contribute towards research at Strathclyde, and this resulted in the contribution towards SSA. It was decided that STRATHcube should have two payloads, the first one, an experiment to trail out a new signal processing algorithm developed at Strathclyde and demonstrate the ability to use passive bi-static radar technology in space to track debris. The second payload would contribute towards D4D research by acquiring measurements during re-entry and data on fragmentation.

STRATHcube aims to positively contribute to ongoing research in space debris mitigation for the sustainable usage of space through the development of a CubeSat platform. CubeSats are a standardised nanosatellite made up of 10x10x10 cm ‘units’, or 1U. These platforms have made space missions more accessible, reducing their typical cost and development time by using standardised Commercial off-the-shelf (COTS) components. STRATHcube is a 2 Unit CubeSat (20x10x10cm) that will be capable of fulfilling its primary mission goals to collect signal data for the identification of space debris and collect re-entry data to be used to validate re-entry tools and contribute to D4D processes.

The project follows a traditional space mission structure utilising the technology readiness scale employed by NASA and the ESA. A team of five master’s students and two dissertation students are conducting research efforts and progression of the CubeSat design. An additional team of twenty-four students are developing a prototype for STRATHcube as an extracurricular project, alike to StrathAIS’ other two rocketry and aviation projects.

Scroll down for information on payloads and subsystem designs


The Payloads


STRATHcube is developing two payloads to target the current limitations in Space Situational Awareness

Primary


In-Orbit Space Debris Tracking Using Passive Bistatic Radar

STRATHcube’s Primary Payload will demonstrate an in-orbit debris detection method called passive bistatic radar (PBR) to show the potential to better track and detect debris from orbit compared to the current capabilities of ground-based facilities. This demonstration will test a signal processing algorithm developed by researchers at the University of Strathclyde to detect debris.

If this demonstration is successful, it will provide an alternative to conventional ground-based tracking that is cheaper and more available to the space community. This method would also demonstrate to the wider industry the potential applications and benefits of this approach, allowing it to then be implemented on a larger scale in the future.

Two different Primary Payload design options were explored concurrently throughout the year:

1.     A novel 3D phase array antenna.

2.     A commercially available off-the-shelf patch antenna.

A high-level design for both the 3D and patch antenna options was completed to evaluate their scientific capabilities on the size of trackable debris and to determine their mass, power and volume parameters.

The integration of the 3D phase antenna onto the CubeSat platform was challenging due to its size, high mass and power draw. Furthermore, the estimated minimum detectable size of debris of the 3D antenna was not much greater than that achievable by the patch antenna.

Therefore, as the scientific goal of this experiment is to demonstrate the capabilities of space based PBR technology, the commercially available off-the-shelf patch antenna has been chosen to facilitate the Primary Payload experiment.


Secondary


Fragmentation Monitoring During Re-entry

STRATHcube’s secondary payload aims to monitor and record the conditions under which solar panel fragmentation occurs during re-entry. This novel experiment, which is the first of its kind will provide invaluable re-entry data to validate and develop re-entry analysis tools used in Design for Demise processes.

ESA ATV re-entry showcasing Design for Demise

The key challenges of this re-entry experiment include:

  • Ensuring the CubeSat remains aerodynamically stable throughout re-entry

  • Maintaining communication via a satellite constellation to ensure re-entry data can be collected

The design of the secondary payload at this stage therefore consists of a passive aerodynamic stabilisation system which utilises the CubeSats solar panels for stability, as well as a communications platform to allow for data transmission via the Iridium constellation.

The Scientific Sensor Platform designed for the secondary payload to collect the required measurements includes: a thermal imaging camera and electromechanical break switches to monitor the solar panels throughout re-entry, and a heat flux sensor, thermocouples, pressure sensors and an IMU to record the conditions under which the solar panels break away from STRATHcube.

Further investigation into the integration and compatibility of the thermal camera and required communication package with CubeSat platform will be carried out by future groups.

Subsystem Design


Explore the different on-board subsystems to get an insight into the inner workings of the STRATHcube mission

Mission Analysis


The purpose of Mission Analysis is to analyse a spacecraft’s orbit to ensure that it will enable the requirements and objectives of the mission to be met. For STRATHcube, the Mission Analysis performed was centred around the design and sizing of other subsystems, such as the communications, data-handling, power, and thermal.

For example, at Strathclyde we have our own Ground Station which we can use to communicate with our satellite, which should be a useful asset to the STRATHcube mission. However, due to the co-ordinates of Glasgow (shown in red) the time that STRATHcube will be overhead each day will be quite low - assuming the spacecraft is deployed into a Low Earth Orbit from something like the ISS.

This meant we had to size the spacecraft transceiver to be able to downlink all our mission data in only a short window, and the data handling system to have enough space to store the data left over!

Ground track of STRATHcube over first day after deployment

Attitude Determination and Control


The Attitude Determination and Control System (ADCS) is a critical system on any spacecraft which is required to point in a certain direction or maintain an orientation over a specified duration. It is typically necessitated to achieve mission constraints for system requirements.

Attitude determination is achieved by the use of sensors to sense where the satellite is pointing with respect to a reference frame or central body. Actuators deliver control by providing the torque required to reorient the satellite, and control algorithms are built on sensor measurements, which are used to ascertain the difference between the current and desired state.

For STRATHcube there were many pointing considerations for payloads, power, configuration, and mission analysis, so it was key to conduct a rigorous pointing analysis. This allowed for the definition of control modes that STRATHcube would require to achieve mission objectives. The subsystem architecture was traded off by considering performance, mass, and financial constraints.

The finalised architecture above allowed for the development of detailed attitude simulations to model translational and rotational dynamics in response to environmental disturbances. The detumbling image was an important result indicating that STRATHcube could be successfully detumbled with purely magnetic control – which significantly reducing required battery capacity - within 12 hours of deployment.

Selected ADCS unit for use on STRATHcube
Detumbling analysis of the STRATHcube spacecraft

Thermal


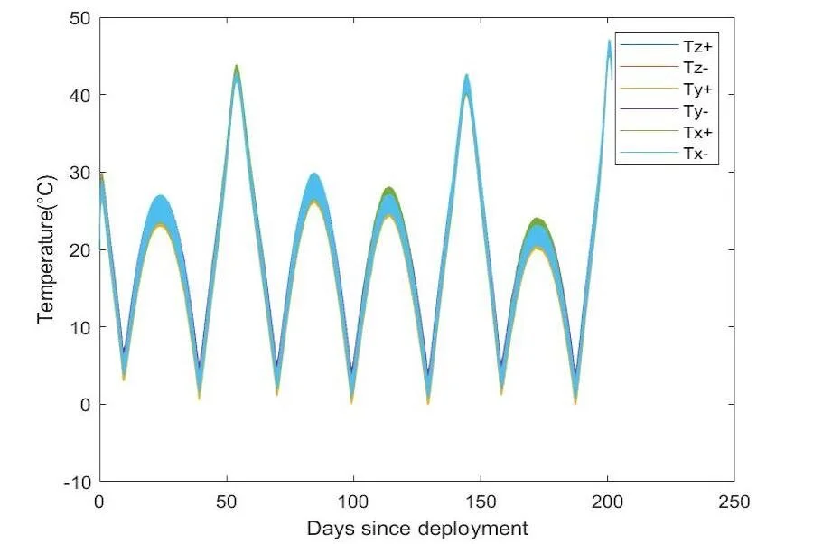
The role of the thermal control subsystem onboard a spacecraft is to maintain all components within their required temperature limits for the duration of the mission. If a component’s temperature moves out with either its upper or lower operational limits, the component will experience reduced performance and potentially permanent damage.

To ensure this would not be the case, a multi-node transient thermal analysis was carried out on STRATHcube to measure the variation in temperature on each of the CubeSat surfaces throughout the mission. With the simple aluminium structure, it was found in this preliminary stage of analysis that no surface coating or insulation was required to maintain the CubeSat in its operational ranges.

STRATHcube thermal analysis

Power


The electrical power subsystem (EPS) onboard a spacecraft is responsible for the generation, storage and distribution of electrical power. The EPS must provide sufficient power to all necessary components throughout each phase of the mission, at the rated voltage and with the correct connections.

For the STRATHcube mission, we are flying in a zenith pointing orientation with a flower formation of deployed solar panels.

For this configuration, simulations were carried out to confirm that the deployed solar panels could meet the power needs of the CubeSat for the entire mission lifetime. The solar panels currently selected at this stage of the project are the ISIS (Innovative Solutions in Space) 2U Solar panels, providing a maximum of 4.6W per panel. The results of the simulations proved this solar panel configuration could provide sufficient power over the full mission lifetime.

The battery and PMAD system selected for the EPS was the integrated unit from Nano-Avionics featuring 23Wh of battery capacity and a PMAD capable of handling the distribution needs of the CubeSat.

Power required by system to power delivered
EPS power architecture

Telecommunications


The telecommunications subsystem on STRATHcube is essential as, like all spacecraft, it is the only interface between the spacecraft and the user on Earth. It is responsible for transmitting the data collected by the on-board payloads and spacecraft system telemetry back to the ground station on Earth and also receives any commands given by the operator on Earth. The STRATHcube mission proposes to use the current ground station capabilities at the James Weir building at the University of Strathclyde as the ground terminal for the mission. 

A link budget analysis that detailed the losses and gains in the link between the spacecraft and the James Weir ground station was successfully carried out. This ensured that it would be possible to communicate with the CubeSat during nominal operations. A transceiver, antenna system, modulation and coding methods were also selected that would enable a high data rate transmission of data collected on STRATHcube to the ground station.

A solution to transmit the Secondary Payload fragmentation data was also proposed that involved using the Iridium satellite constellation as a relay point where the data can be sent to during re-entry via a live dial-up connection and can be downloaded from the cloud.

ISIS deployable antenna system for CubeSats

Structures and Deployable Mechanisms


STRATHcube’s 2U structure has been created with the objective of realising a design which maximises strength, while minimising mass. As such, the structure – which has been designed to standardised CubeSat dimensions – will be primarily made from Aluminium 7075 T6.

The structure features three mounting plates of varying characteristics, which are attached to four rails running the length of the CubeSat. Lightweight side panels, which feature an Isogrid-type lightening pattern encase the CubeSat bus.

Current estimations predict the mass of the 2U STRATHcube structure to be around 380g.

STRATHcube features a geared stepper motor and hinge mechanism for the deployment of its solar arrays. The Faulhaber motor and planetary gearhead combination is capable of deploying the ISIS 2U Solar Panels to their two configurations.

Initially, the solar arrays must be deployed from stowed to perpendicular to the CubeSat for maximum power generation during operation, and secondly, a further 45 degrees aerodynamic stability during the re-entry phase to complete the Secondary Payload experiment.

CubeSat model created to perform structural analysis
Geared stepping motor and hinge mechanism

On-Board Data Handling


The On-Board Data Handling (OBDH) subsystem is required to manage all the other individual subsystems so that the whole spacecraft can work as one integrated unit.

At the centre of the OBDH subsystem is the on-board computer (OBC) which performs several mission critical roles such as: initiating and accepting communications links, system housekeeping, component telemetry data management and failure detection, isolation and recovery.  

STRATHcube’s OBC is required to interface with all subsystems, as shown in the avionics architecture. It is also required to carry out the data processing and storage relating to the Primary Payload space debris experiment.

The OBC chosen includes two fully independent OBCs in a shared enclosure, which will use the second processor for the Primary Payload. The selected OBC also offers protection from the radiation of the space environment with a 1.5mm thick aluminium casing, essential to maintain the reliability of the computer.

STRATHcube avionics architecture

Propulsion


Spacecraft propulsion describes any technique used to accelerate a spacecraft; the field specifically addresses propulsion systems used within the vacuum of space.

The law of conservation of momentum states that a force imparted on an object must be accompanied by an equal and opposite reaction force. This reaction force is the primary driver for all space borne propulsion systems, and at STRATHcube, we were focused on investigating active means of generating the reaction force, through an expulsion of internal mass, widely referred to as propellant.

The above table detailed both chemical and electrical thruster concepts that were investigated and traded off. However, due to limitations in mass, performance, and financial constraints, it was decided that propulsion should not be included in the STRATHcube project.

STRATHcube propulsion trade-off